Stability Limits

Stability limits can be derived for all the numerical methods for solving parabolic partial differential equations. When the finite difference method is applied to the diffusion problem, the equations are

(1)

where the matrix B is tridiagonal. The stability of the integration of these equations is governed by the largest eigenvalue of B. If Euler's method is used for integration we have

The largest eigenvalue of B is bounded by Gerschgorin's Theorem [Isaacson and Keller, p. 135, 1966].

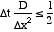
This gives the well-known stability limit

If other methods are used to integrate in time then the stability limit changes according to the method, but the number 1/2 doesn't change much. Notice that the stable time step is proportional to x2. The eigenvalue of Eq. (1) range from D2/L2 (smallest) to 4D/x2 (largest), depending on the boundary conditions. Thus the problem becomes stiff (link) as x approaches zero [Finlayson, p. 263, 1980].

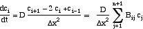
Another way of studying stability of explicit equations is to use the positivity theorem. If we apply Euler's method we can write the equations in the form

where

Then the new value is given by

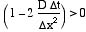
Theorem. If

and A, B. and C are positive and A + B + C 1 then the scheme is stable and the errors die out.

Here the theorem requires

which gives the same stability condition [See Finlayson, 1980, p. 217 for a proof of the theorem].

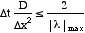
The maximum eigenvalue for all the numerical methods is given by

(2)

where LB is listed in Table I.

Table I. Value of LB in Equation (2) [Finlayson, 1980, p. 250]


Finite Difference 4
Galerkin, linear elements, lumped 4
Galerkin, linear elements 36
Galerkin, quadratic elements 60
Orthogonal Collocation, N = 1, planar geometry, x = 1 3
Orthogonal Collocation, N = 3, planar geometry, x = 1 185
Orthogonal Collocation, N = 6, planar geometry, x = 1 2491
Orthogonal Collocation, N = 1, cylindrical geometry, x = 1 8
Orthogonal Collocation, N = 1, spherical geometry, x = 1 15
Orthogonal Collocation (more information)
Orthogonal Collocation on Finite Elements, cubic 36
Orthogonal Collocation on Finite Elements, quartic 98.23
Orthogonal Collocation on Finite Elements, quintic 222.20


Separation of Variables
Combination of Variables
Numerical Methods - Overview
Finite Difference Methods in MATLAB
Orthogonal Collocation Methods
Orthogonal Collocation on Finite Elements
Finite Element Method
Method of Weighted Residuals
Spectral Methods
Errors
Stability
Comparison of Methods

Take Home Message: There are several numerical methods for solving partial differential equations, most of them combinations of the methods for initial value ordinary differential equations and boundary value problems. All the methods become stiff as the spatial approximation is improved, thus requiring integration in time with stiff or implicit methods.