Numerical Methods for Partial Differential Equations in time and one space dimension

Numerical methods are applicable to both linear and nonlinear problems on finite and semi-infinite domains. This section provides theory that is specific to partial differential equations in time and one space dimension. The equations discussed here are parabolic, with first time derivatives and second spatial derivatives. The methods depend strongly on the methods used to solve ordinary differential equations as initial value problems and boundary value problems ­ in fact they are often just a combination of those methods.

Finite Difference Methods. The finite difference method is applied using the method of lines [Carver, 1981]. In this method the same equations are used for the spatial variations of the function, but the function at a grid point can vary with time. Thus the linear diffusion problem is written as

Finite Element Method. The finite element method is handled in a similar fashion, as an extension of two-point boundary value problems by letting the solution at the nodes depend on time. For the diffusion equation the finite element method gives

with the mass matrix defined by

and the element diffusion matrix defined by

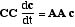
This set of equations can be written in the form

Now the matrix CC is not diagonal, so that a set of equations must be solved each time step, even when the right-hand side is evaluated explicitly. This is not as time-consuming as it seems, however.

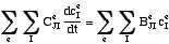
Orthogonal Collocation. The method of orthogonal collocation uses a similar extension: the same polynomial of x is used but now the coefficients depend on time.

and for diffusion problems we have

This problem can be integrated using the standard methods for ordinary differential equations as initial value problems.

The method of orthogonal collocation on finite elements can also be used, and it is a combinaton of the orthogonal collocation and finite element method.

Details of the methods are in:
Separation of Variables
Combination of Variables
Numerical Methods - Overview
Finite Difference Methods in MATLAB
Orthogonal Collocation Methods
Orthogonal Collocation on Finite Elements
Finite Element Method
Method of Weighted Residuals
Spectral Methods
Errors
Stability
Comparison of Methods