Rational Polynomials for Interpolation

Rational polynomials are ratios of polynomials and frequently arise in control problems. A rational polynomial Ri(i+1)...(i+m) passing through m+1 points

is

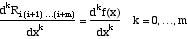
An alternative condition is to make the rational polynomial agree with the first m+1 terms in the power series, giving a Padé approximation, i.e.

The Bulirsch-Stoer recursion algorithm can be used to evaluate the polynomial:

Other interpolation schemes are: global polynomials as powers of x that go through a fixed number of points; orthogonal polynomials of x that give a best fit; piecewise polynomials derived with forward differences (points to the right) and backward differences (points to the left); splines; and finite elements.

Take Home Message: Rational polynomials are useful for approximating functions with poles and singularities, as occur in Laplace transforms.