Forward Interpolation with Piecewise Polynomials

Piecewise approximations can be developed from difference formulas [Lapidus and Seinfeld, 1971]. Consider a case when the data points are equally spaced

Define forward differences by

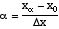
Now define the new variable

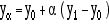
The value a=0 gives x=x0; a =1 gives x=x1. We write the finite interpolation formula through the points y0, y1, ..., yn.

Keeping only the first two terms gives a straight line through (x0, y0) ­ (x1, y1).

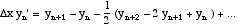
When alpha = 0 we get y0, and when alpha = 1 we get y1. Keeping the first three terms gives a quadratic function of position going through those points plus (x2, y2).

The value a=0 gives y0; a =1 gives y1; and a =2 gives y2,. Forward difference approximations use the points to the right of the point x0, and fit a polynomial through two or more points.

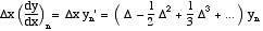
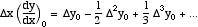
The interpolation function is a continuous function of alpha, and it can be differentiated with respect to alpha (or x). Thus,

and this gives

At the point a = 0 we get

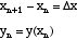
or, since x0 is arbitrary,

Expanding this gives

Thus we can also estimate the first derivative, knowing two or more points; the order of the estimate depends upon the number of terms used.

Differentiate the function again to get the second derivative

At a = 0

This gives a way to estimate the second derivative. Alternatively, we can say that the second difference is of order x2. More generally the nth-order difference is of order xn.

Other interpolation schemes are: global polynomials as powers of x that go through a fixed number of points; orthogonal polynomials of x that give a best fit; rational polynomials that are ratios of polynomials; piecewise polynomials derived with backward differences (points to the left); splines; and finite elements.

Take Home Message: Forward difference expressions can be used to interpolate to the right of a point, and evaluate derivatives in the interpolation interval. There are several different interpolations, depending on the points used and order of the interpolation.