Backward Interpolation with Piecewise Polynomials

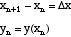
Piecewise approximations can be developed from difference formulas [Lapidus and Seinfeld, 1971]. Consider a case when the data points are equally spaced

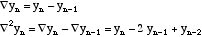
Backward differences are defined by

The interpolation polynomial of order n through the points y0, y-1, y-2,... is

The value a = 0 gives x = x0; a=­1 gives x = x­1. This approximation uses the points to the left of the point x0, and fits a polynomial through two or more points. Keeping only the first two terms gives a straight line through the points x0 and x­1.

When a = 0 we get y0, and when a = ­1 we get y­1. Keeping the first three terms gives a quadratic function of position going through those points plus (x2,y-2).

The value a = 0 gives y0; a = ­1 gives y-1, and a = ­2 gives y-2. Backward difference approximations use the points to the left of the point x0, and fit a polynomial through two or more points.

The interpolation function is a continuous function of a, and it can be differentiated with respect to a (or x). Thus,

and this gives

At the point a = 0 we get

or, since x0 is arbitrary

Expanding this gives

Thus, we can also estimte the first derivative, knowing two or more points; the order of the estimate depends upon the number of terms used.

Differentiate the function again to get the second derivative

This gives a way to estimate the second derivative. Alternatively, we can say that the second difference is of order x2. More generally, the nth-order difference is of order xn.

Alternatively, the interpolation polynomial of order n through the points y1, y0, y­1...,is

Now a = 1 gives x = x1; a = 0 gives x = x0. The only difference between these two forms is the location of the point furthest to the right, x0 or x1.

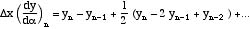
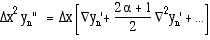
This interpolation formulas can be written for the first derivative as well. Using the points x0, x­1, ... gives

Differentiating this with respect to x

or

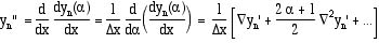
This formula can be used to give an estimate of the second derivative. Higher derivatives are given by

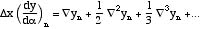
An interpolation formula for the first derivative using the points x1, x0, x­1,... gives

The estimate of the second derivative is

Other interpolation schemes are: global polynomials as powers of x that go through a fixed number of points; orthogonal polynomials of x that give a best fit; rational polynomials that are ratios of polynomials; piecewise polynomials derived with forward differences (points to the right); splines; and finite elements.

Take Home Message: Backward difference expressions can be used to interpolate to the left of a point, and evaluate derivatives in the interpolation interval. There are several different interpolations, depending on the points used and order of the interpolation.