Finite Element Interpolation

Overview of Finite Element Interpolation

The finite element method can be used for piecewise approximations [Finlayson, 1980]. Divide the domain a < x < b into elements as shown in Figure 1.

'

Figure1. Galerkin finite element method ­ linear functions

Each function Ni (x) is zero at all nodes except xi; Ni (xi) = 1. Thus, the approximation is

where ci = y (xi). It is convenient to define the trial functions within an element using new coordinates.

The xi need not be the same from element to element. The trial functions are defined as Ni(x) in the global coordinate system and NI(u) in the local coordinate system (which also requires specification of the element). For xi < x < xi+1

since all the other trial functions are zero there. Thus, also

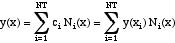
We write

Thus we rewrite the expansion as

and ci = cIe within the element e. Thus, given a set of points (xi, yi ) a finite element approximation can be made to go through them.

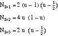
It is also possible to use quadratic approximations within the element. See Figure 2.

Figure 2. Finite Element Approximation - Quadratic Elements

Now the trial functions are

The approximation going through an odd number of points ( xi, yi ) is then

Other interpolation schemes are: global polynomials as powers of x that go through a fixed number of points; orthogonal polynomials of x that give a best fit; rational polynomials that are ratios of polynomials; piecewise polynomials derived with forward differences (points to the right) and backward differences (points to the left); and splines.