Diffusion and Reaction in Porous Catalysts

An important problem in chemical engineering is to predict the diffusion and reaction in a porous catalyst pellet. The rate of diffusion is proportional to the diffusion coefficient times a concentration gradient (link); indeed, one of the most significant parts of the problem is estimating the diffusion coefficient and deciding if multicomponent effects must be included. Also, the reaction rate can depend on concentration and temperature. Of course, more general cases are possible. For example, the reaction rate may depend on several concentrations or on the activity of the catalyst, which may depend on position. We consider here the reaction A ­>B, with the reaction rate depending on the power of concentration of A, denoted by c'. The goal is to predict the overall reaction rate, or the mass transfer into and out of the catalyst pellet.

The outline is:

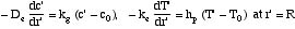
Conservation of mass in a spherical domain gives

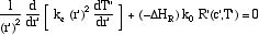
while conservation of energy gives

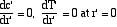
Here De is the effective diffusivity of the porous medium, k0 is the rate constant, ke is the effective thermal conductivity of the porous media, and ­HR is the heat of reaction. The rate of removal of A is k0R' in units of concentration per time, or mass or moles per volume per time. We use boundary conditions at the center to have no flux through the center, making the problem symmetric about the origin. At the origin

At the boundary of the pellet we use the boundary conditions of the third kind.

where kg and hp are mass and heat transfer coefficients of the transfer from the porous pellet to the surrounding medium. The concentration and temperature in the surrounding medium are c0 and T0, respectively, while R is the pellet radius.

Continue on to: Non-dimensional problem, Combination of Variables, Effectiveness Factor, Linear Problem, Nonlinear Problem.