Chemical Reactors with Axial Dispersion

Axial dispersion is sometimes important in laboratory reactors, even if it isn't usually important in full scale reactors. The dimensionless equations governing a single component in an axial dispersion reactor are

together with the boundary conditions

The boundary conditions are due to Danckwerts (ref) and Wehner and Wilhelm (ref). The Peclet number is defined as

and the Damköhler number is

Notice the presence of the length of the reactor, and flow rate. These contribute to a smaller Peclet number in laboratory reactors than in full scale reactors, making the axial dispersion model one that is important for modeling laboratory reactors. It also is important in some microfluidic devices, which can have small Peclet numbers.

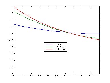
The problem is solved for a variety of Peclet numbers and Damköhler numbers in order to assess the values of those dimensionless numbers which makes their presence felt. Methods used are: finite difference, orthogonal collocation, orthogonal collocation on finite elements, and initial value methods. Shown below are solutions obtained for large and small values of Peclet number and Damköhler number.

Solutions for Pe = 10

Solutions for Da = 1

The methods are applied to a simple problem, a nonlinear second order reaction, and some of them are applied to a more difficult problem with temperature effects. When temperature effects are included, another equation is needed

with parameters

the boundary conditions

The reaction rate is taken as

When the Peclet number for heat and mass are the same, it is possible to combine the equations for temperature and concentration so that one only solves one equation. The technique follows that shown for reaction-diffusion problems in catalyst pellets.

Most solutions below are for the problem

The methods are orthogonal collocation, finite difference, orthogonal collocation on finite elements, and initial value methods.