Finite Difference for Axial Dispersion

Finite Difference Method for Axial Dispersion Problems

The finite difference method is a useful method for problems involving axial dispersion in chemical reactors, especially when there are steep changes in the solution in a small region of space.

Consider first the case of a reaction that is second order in concentration.

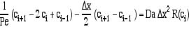
The finite difference formulation at interior grid points is

The boundary condition at x = 0 uses a false boundary

as does the boundary condition at x = 1.

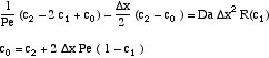
Typically, the Newton Raphson method is used to solve nonlinear problems. The nonlinear reaction rate term is expended to give

The difference equation for interior points is rearranged to the form

This equation holds at the first point, x1, too, but the false boundary condition is introduced to solve for c0.

Then the equation is

At the last point, the false boundary condition is used in the form

and the difference equation becomes

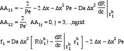
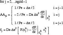
The solution is derived by iterations in the form

The terms are

The code is available. (link)

First consider the case with a fixed Peclet number of 10 (a low value), and vary the Damkóhler number from 0.1 to 10. Typical solutions are shown in the figure.

Solutions with Pe = 10; Da = 0.1, 1, 10, second order reaction

These results were generated by using 5 and 9 grid points, and it is clear that at least nine points are needed. Note that for small Damköhler numbers little reaction takes place, and more reaction takes place as the Damköhler number increases. Also, as the reaction rate increases, there is a bigger jump at the inlet, since the flux (derivative) is higher then, and the value of c ­ 1 must be bigger.

Now vary the Peclet number, for the case of Da = 1.

Solutions with Pe = 10; Da = 0.1, 1, 10, second order reaction

As the Peclet number increases to 100, the inlet concentration approaches the value upstream, 1.0. However, oscillations develop at the downstream exit. These are caused by the fact that the mesh is too large. Spurious oscillations can develop when the value of

exceeds 1.0. In this case, the value is 6.25 for 9 points. Using smaller x gives a better solution; shown below are solutions obtained with 5, 9, 17, 33, and 65 grid points. When there are 65 grid points, the value of the parameter is 0.78125 and the oscillations disappear. There are other ways to handle the outlet boundary condition which avoid this problem (link).

Also, see the other solution methods: orthogonal collocation, orthogonal collocation on finite elements, and initial valuemethods.

Take Home Message: The finite difference method is ideally suited to problems whose solution has steep gradients, but enough grid points must be used to avoid oscillations when the Peclet number is large.