Orthogonal Collocation for Axial Dispersion Problems

The orthogonal collocation method is a useful method for problems of axial dispersion in reactors. Only a few terms are needed unless the solution changes rapidly in a small region. Here we apply the method to the case of a reactor with a second order chemical reaction.

Consider first the case of a reaction that is second order in concentration.

In this problem, there is no symmetry, and we use unsymmetric polynomials to solve it. (link) The orthogonal collocation formulation at interior collocation points is

The boundary condition at x = 0 uses

and the boundary condition at x = 1 is applied using

Typically, the Newton Raphson method is used to solve nonlinear problems. The nonlinear reaction rate term is expended to give

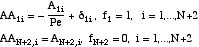
The problem is then

The problem is solved using the general form

In this form, we need

The code is available.

First consider the case with a fixed Peclet number of 10 (a low value), and vary the Damkóhler number from 0.1 to 10. Typical solutions are shown in the figure.

Solutions for second order reaction and Pe = 10.

These results were generated by using 5 collocation points, and are hardly changed when using more collocation points; thus, they are accepted as accurate enough.

Note that for small Damköhler numbers little reaction takes place, and more reaction takes place as the Damköhler number increases. Also, as the reaction rate increases, there is a bigger jump at the inlet, since the flux (derivative) is higher then, and the value of c ­ 1 must be bigger.

Now vary the Peclet number, for the case of Da = 1.

Solutions for second order reaction and Da = 1.

As the Peclet number increases to 100, the inlet concentration approaches the value upstream, 1.0. Thus, for problems with Peclet number 100 and larger, the axial dispersion term makes a negligible difference.

Also, see the other solution methods: finite difference, orthogonal collocation on finite elements, and initial value methods.

Take Home Message: The orthogonal collocation method is ideally suited to problems involving axial dispersion (provided the gradients are not severe).