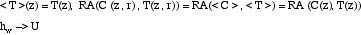
Chemical Reactor with Radial Dispersion - Formulation of the Problem

Consider a packed bed reactor: a cylinder filled with catalyst pellets.

The fluid flows past the catalyst pellets, on which reaction takes place. Due to the heat of reaction, the temperature can change; in the case of an exothermic reaction the temperature increases. The energy is removed at the wall. Energy released near the wall is easily removed, but energy released in the center of the cylinder must get from there to the wall, using essentially two pathways. One pathway is heat conduction through the fluid and solid, and another is due to mixing as the flows around adjacent pellets combine downstream. This mechanism is called dispersion. The rate of reaction depends on temperature. If the temperature rise is small, then the temperature is the same at different radial postions in the bed. If no mass is removed at the wall, then there is no mechanism to create concentration variations in the radial direction, provided the concentration is uniform upstream. In that case, a radial dispersion model is not needed. If the temperature rise is large, however, then the temperature will be different at the center and wall of the cylinder, highest at the center for exothermic reactors. In that case, the rate of reaction will also vary in the radial direction, and a radial dispersion model is needed.

The model described here is a two phase model that is derived by averaging the concentration and temperature in a small region, over both the fluid and solid. In this wall, the two-phase nature can be accounted for, provided we know how the properties change during the averaging process. This is a long-standing problem in chemical engineering, and measurements have been correlated to dive that data. For precise derivations, see Whitaker (ref).

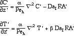
A typical problem is one for a single reaction; here we assume the system is dilute, or the number of moles does not change under reaction. The concentration equation is then

The variables are

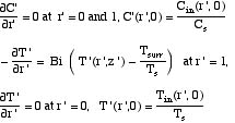
The first term represents the convection of mass down the reactor, the second term is the radial dispersion, and the third term is the reaction rate. The boundary conditions are

at the center of the cylinder and

at the wall. If the wall were permeable, then the boundary condition at the wall would be different, such as

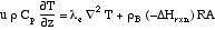
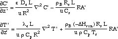
The temperature equation is

The variables are

The first term represents the convection of energy down the reactor, the second term is the radial dispersion, and the third term is the heat of reaction. The heat of reaction (­Hrxn) is positive for an exothermic reaction, by convention. The boundary conditions are

at the center of the cylinder and

at the wall. In addition there are initial conditions at the inlet to the bed.

In both equations, there are effective radial dispersion coefficients, and these must be found from experiment. They are readily available from correlations, and they vary with Reynolds number since they represent mixing in the packed bed.

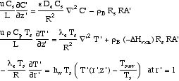
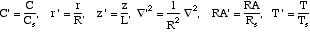
We make the equations nondimensional by defining the nondimensional variables.

The standards are constants, and are denoted by the subscript s. Convenient standards for concentration and temperature are the radially-averaged inlet values.

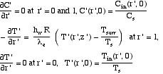
When all variables are made non-dimensional the resulting equations are

Divide by the coefficient on the left-hand side and collect terms.

We thus define the following dimensionless numbers.

The parameter a represents a geometric factor, and the Peclet numbers invoke radial dispersion. The Peclet number for mass and heat must be found experimentally, and they have been correlated. Typical values are Pe = 10 and Peh = 5-8 (ref). The Damköhler number for mass and heat represent the ratio of reaction rate to flow velocity, and can be thought of as the ratio of the time constant for flow through the device to the time constant of the reaction. The parameter b is related to the adiabatic temperature rise, and the Biot number is a non-dimensional heat transfer coefficient which includes the effect of the heat transfer effect outside the tube, the wall, and some additional heat transfer resistance near the wall inside the cylinder, where the velocity gets small. With these definitions, the problem is

There are two basic problems solved in this chapter. Both use a first-order irreversible reaction.

The parameters for the first problem are

The parameters for the second problem are the same except for

The difference between the problems is illustrated by the overall heat transfer coefficient and its dependence on the Biot number. The following formula is derived by the orthogonal collocation method.

Rearranged, this gives

When the Biot number is small, then the overall heat transfer coefficient is almost entirely the heat transfer coefficient at thewall. This is the first case, where the ratio is 0.75. When the Biot number is large, then the overall heat transfer coefficient has a significant component due to the packed bed. This is the second case, where the ratio is 0.13. In this case, significant temperatur variations can arise radially if the heat of reaction is large enough, since there is a significant resistance to heat transfer through the packed bed, compared with the resistance at the wall. Thus, by comparing problems one and two, we can see the impact of this important parameter, the Biot number.

The two problems are solved using the orthogonal collocation method and the finite difference method.

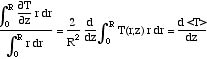
When the Biot number is small, and radial temperature variations are not expected, one can simplify the problem. One integrates the equation over the radial position in the cylinder, defining the average quantity as

If this is done for the first term, it becomes

The dispersion term becomes

With the temperature independent of radial position, the average temperature is the temperature. Then the average rate of reaction is evaluated at the average temperature, or the temperature at that axial position. Furthermore, the heat transfer coefficient is called an overall heat transfer coefficient. Thus we use

Combining all terms gives the following equation

When this equation is made nondimensional, it is

The Stanton number is

and the temperature equation is

The corresponding concentration equation is

This is called a lumped parameter model because the heat transfer resistance is 'lumped' at the boundary. Comparisons of a lumped parameter model and a radial model are given in the another section.