Finite Difference Method for a Chemical Reactor with Radial Dispersion

The problem is for flow and reaction as a fluid moves down a packed bed, filled with catalyst. The equations are derived elsewhere (link). Here we repeat them in nondimensional form.

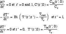
The boundary and initial conditions are

The finite difference method (link) is applied by evaluating the differential equations at the grid points.

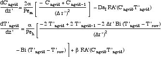
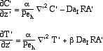
(1)

At the origin, l'Hopital's rule (link) is used to evaluate the differential equation; for example

The initial conditions are

The boundary conditions are written by using a false boundary (link)

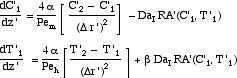
Thus, the equation at the first grid point becomes

(2)

and the equation at the last grid point becomes

(3)

Thus, we have a set of ordinary differential equations to integrate. The Matlab code is available.

The parameters for the first problem are

This case represents one with the majority of the heat transfer resistance at the wall. Solutions for the radially-averaged concentration and temperature are shown in the figures. Solutions obtained with 9 grid points are almost identical to those obtained with 17 grid points.

The radial profiles are shown in the next two figures, and illustrate the fact that, except for the hot spot, the radial profiles are quite flat. These figures confirm that fact that the radial profiles are almost flat, the only discrepancy being when the temperture rises sharply and the conversion becomes complete.

The parameters for the second problem are the same except for

This case represents one with the majority of the heat transfer resistance in the packed bed itself. Solutions for the radially-averaged concentration and temperature are shown in the figures.

Solutions with 5 and 9 points show some disagreement, and the reason is clear from the next two figures, which show the radial profiles. The profile is jagged when only a few points are used. These figures confirm that fact that the radial profiles are more important when the Biot number is larger.

Take Home Message: The finite difference method is a good method when there are steep radial gradients, but many more terms are needed than in orthogonal collocation.