How to make an equation dimensionless.

It is frequently desirable to make equations non-dimensional, since one non-dimensional solution represents an infinite number of solutions with dimensions. The dimensionless equations also sometimes give guidance about the relative importance of certain terms.

It is quite easy to make an equation non-dimensional. One simply defines new quantities which are the dimensional quantity divided by a standard; the new quantity is non-dimensional. In the equations, the dimensional quantity is substituted in terms of the new quantity. Suppose we have x, a position, in the equations. Then define the non-dimensional distance as

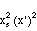
The variable xs is the standard length measure (can be inches, meters, or the width of a box); x' has no dimensions. If the equation has a term like

we substitute for x = xs x'. The term then becomes

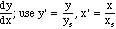
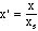
If we have a derivative

then we get

Note that the standards, xs and ys, are constants and hence can be 'taken through the differential'.

As an example, take Problem IV in the Chapter on Boundary Value Problems. The problem is

In the case of the temperature, it is also useful to subtract off the constant value Ta, and to define T' so that it goes from 0 to 1 when T goes from Ta to Tb, and x' so that it goes from 0 to 1 when x goes from a to b. Thus we choose

Thus we substitute the following variables

The boundary conditions are then:

The differential equation becomes

Rearranging the terms gives

If we define the new constants

the entire problem can be written as follows.

The two parameters in the problem are a' and b'.

Take Home Message: When you make an equation dimensionless, you reduce the number of parameters and can see the relative importance of each term. This allows you to correlate in your mind whether something is 'large' or 'small'.