Polymer flow problem solved with the orthogonal collocation method
The problem is solved using the orthogonal collocation method. We use symmetric polynomials (link) since the solution should be symmetric about r = 0. For small shear rate or l the exact solution is a quadratic function of position, which is also the first approximation in the orthogonal collocation method. Thus orthogonal collocation should do well in this case. For large l, though, the profile is flat, with a steep boundary layer. In that case orthogonal collocation might need many points to get a good solution. The finite difference method or orthogonal collocation on finite elements or the Galerkin finite element method would then do a better job. The exact condition at which the best method changes from orthogonal collocation to the other methods is a matter for numerical experimentation. We take as three typical cases: l = 10, n = 0.5, p/L = 107 (case a) and 109 (case b) (this is typical of low-density polyethylene) and l = 10, n = 0.1, b = 109 (case c).
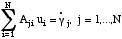
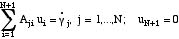
The orthogonal collocation method is applied to Eq. (2).
or simply
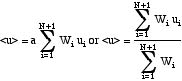
The average velocity is given by
The velocity for the three cases is shown in the figure.
Case a has a velocity profile that is almost parabolic, case b has a flatter velocity profile, and case c has an even flatter profile. These solutions were obtained using 7 collocation points, and plotting the results using the polynomial solution (not straight line interpolation). The convergence with number of collocation points is shown in the table.
Flow rate for polymer flow examples - orthogonal collocation method
| No. Coll. Points | case (a) | case (b) | case (c) |
|---|---|---|---|
| 1 | 0.0033335 | 0.517925 | 7.575 |
| 2 | 0.0033338 | 0.807925 | 2124.39 |
| 3 | 0.0033338 | 0.810689 | 2631.26 |
| 4 | 0.0033338 | 0.810439 | 2635.23 |
| 5 | 0.0033338 | 0.810352 | 2635.25 |
| 6 | 0.0033338 | 0.810346 | 2635.26 |
A great many more points are needed in the finite difference method, compared with the method of orthogonal collocation, but the difference lessens as the velocity profile becomes flatter with more of a boundary layer.