Critical parameters

Sometimes nonlinear problems do not have solutions; the numerical methods, which are usually iterative, will give results that look like the method has a mistake in it. Thus it is useful to know whether solutions exist. To illustrate the phenomena, consider the finite difference formulation of (Problem IV).

This set of equations will be solved for ∆x = 0.5, so that i = 1, 2, and 3, and a' = 2. Thus we solve

Combining these equations gives a single equation in one unknown.

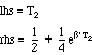
Now the question arises as to whether solutions for T2 exist no matter what the choice of b'. To answer this question, let's plot the right-hand side versus T2 and the left-hand side versus T2.

The left-hand side is a straight line with slope 1 going through the origin. The right-hand side starts at 0.75 for T2 = 0. As T2 is increased the curve moves up at an ever-increasing rate. See the figure. Now it is clear that if b' is so large that the curve moves up too soon, then it can never intersect the line of lhs = T2. Yet if b' is zero, then the two curves clearly intersect. Thus there is a value of b' above which no solution exists.

To find the critical value of b' beyond which no solution exists, consider first a value of b' larger than this. The two curves do not intersect. Then as b' is decreased eventually a point is reached at which there is one intersection, and that is at the point where the two curves have identical tangents at the same point. Further lowering of b' will cause there to be two intersections. The critical value of b' is when both the right-hand side equals the left-land side and the tangents of the two functions are equal. Those tangents are

Thus we want to solve the following two equations for T2 and b'.

The value of the exponential term is 4 / b', by the last equation. Putting that value in the first equation gives

Using this value in the second equation gives a single equation in terms of b'.

This equation is solved in MATLAB to find b'. The m-file is made to evaluate the function

function y = f(x)

y = 1 ­ (x/4)*exp(x*(0.5+1/x))

Then the command: fzero('f',0.5) is issued. (The 0.5 is the initial guess.) The answer comes back: 0.9261110267. Thus for values of above 0.926112 there is no solution. For values of b below 0.926110 there are two solutions. Which one will be found by an iterative scheme depends on the starting guess. Often a starting value above the highest root will give the highest root, and a starting value below the lowest root will give the lowest root, but this is not guaranteed. Unfortunately, the analysis to decide whether solutions exist, or the range of parameters for which they do, is often difficult.

Take Home Message: It is possible to have sets of algebraic equations which do not have a solution.