53.5
5. Your company, Fun with Finance, has just completed a $5
million marketing survey that suggests that your new computer
role-playing game: "A Day in the Life of Dr. J" is
going to be a big hit. Producing the game will require an
immediate $20 million capital investment in new equipment. At the
same time, cash on hand and raw materials will have to increase
from $3 million to $4 million, and remain at that level for the
life of the project. The game is expected to produce revenues of
$23 million per year and costs of $10 million per year for 4
years, starting one year from today. The new game will represent
5% of Fun with Finance revenues. Five percent of current overhead
costs is $0.7 million. Additionally, new managers and
administrative expenses required for the project will cost $0.5
million per year. Your tax rate is 40%. The new equipment will be
depreciated over 4 years to a book value of 0 using the
straight-line method. You have contracted to sell the equipment
for $2 million at the end of the fourth year, at which point
production will end and cash on hand and raw materials will
return to the original $3 million level. Assume that the correct
discount rate for this project is 11%. Show the relevant cash
flows for this project and compute its NPV. [20 pts]
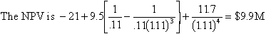
The $5 million marketing survey is sunk (with or without the project, the $5 million is spent, so it is not incremental). The current overhead will also be there whether we take the project or not, so it is also not incremental. However, the new managers and admin. expenses of $0.5 million per year will only be incurred if we take the project, so those expenses are incremental. We can sell the equipment for $2 million at the end of year 4, but we will have to pay tax on the full $2 million because the equipment will have a book value of zero at that point. Therefore, we pay tax of 40% of $2 million (=$0.8M) and are left with $1.2M. As we discussed in class, things like cash on hand, raw materials and inventory are working capital. We only care about changes in working capital, so we only care about the $1M increase in WC at the beginning and $1M decrease at the end. Recall that cash flows caused by these changes are equal and opposite (e.g. it takes a $1M expenditure of cash to increase WC by $1M), so the changes in WC represent a -$1M outflow immediately and +$1M inflow at the end.
| 0 | 1 | 2 | 3 | 4 | |
| Revenues | 23 | 23 | 23 | 23 | |
| - Costs | 10 | 10 | 10 | 10 | |
| - Incremental Overhead | 0.5 | 0.5 | 0.5 | 0.5 | |
| - Depreciation | 5 | 5 | 5 | 5 | |
| = OpInc | 7.5 | 7.5 | 7.5 | 7.5 | |
| -Tax (40%) | 3 | 3 | 3 | 3 | |
| =A-T Income | 4.5 | 4.5 | 4.5 | 4.5 | |
| Add Back Depr | 5 | 5 | 5 | 5 | |
| =Op CF | 9.5 | 9.5 | 9.5 | 9.5 | |
| + Capital Investment | -20 | +1.2 | |||
| +CF from Chg in WC | -1 | +1 | |||
| =FCF | -21 | +9.5 | +9.5 | +9.5 | +11.7 |
![]()