311.

423.6

6.You work for Nike and you are negotiating with Lucasfilm to get the rights to sell a shoe called "Air Skywalker". You think you should be able to sell $400 million worth of these shoes per year for 3 years, starting next year. You have spent $5 million designing and test marketing the shoes. Production of the shoes will cost $200 million per year (this includes salaries of new managers and employees). You will have to buy new production equipment worth $80 million. This equipment will have a 4-year life and will be depreciated to zero over that life. You plan to sell the equipment for $25 million at the end of the third year. Production of the new shoe will also require you to increase your working capital from $20 million to $25 million immediately. Working capital will decrease back down to $20 million at the end of the third year. Nike’s current overhead amounts to $75 million per year. Lucasfilm wants $200 million (now) in exchange for the rights to produce the shoe. Your tax rate is 40%. If the cost of capital for this project is 10%, should you take their offer? (18)

The test marketing and design is sunk and the current overhead is not incremental (it would be incurred even without the new project). Selling the machine results in a profit equal to the selling price minus the book value (25-20). The tax on that $5 million is 40% = $2 million, leaving you with $23 million from the sale. The cash flows look like:

 

0

1

1

3

Revenues  

400

   
Expenses  

-200

   
Depreciation  

-20

   
EBIT  

180

   
Tax (40%)  

72

   
Net Income  

108

   
Add Back Depr  

+20

   
Capital Investment

-80

   

+23

Cost of Rights

-200

     
Cash flow from WC

-5

   

+5

Net cash flow

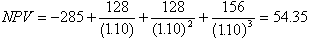
-285

+128

+128

+156

so take the project.

Back to Practice Problems