321.

415.1

1.Stock A has had the following returns over the last 3 years:

1 2 3
18% 12% 21%
  1. What is its expected return and standard deviation?
  2. Its expected return is the simple average of its historical returns: (.18+.12+.21)/3=.17

    Its standard deviation is:

     

  3. You can use Stock A to form a portfolio with either Stock B or Stock C. Their vital information is:
  Exp. Return Std Deviation beta Correlation with A
Stock B 0.15 0.35 1.2 .5
Stock C 0.15 0.30 1.1 .4

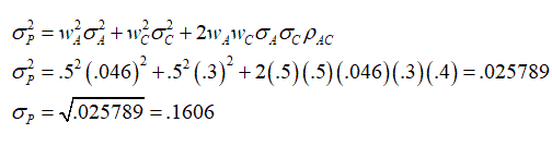
Which one should you pick? What would the standard deviation of a portfolio of 50% A and 50% of the stock you choose be? (Note: If you couldn’t get the answer to part a, just use s A in its place and set up the problem)

You should choose "C" because it has a lower standard deviation and beta, the same return, and a lower correlation with A. The portfolio standard deviation is:

 

 

Back to Practice Problems