36

33.15
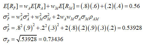
15. You have two stocks in your portfolio: Amazon.com and Merck (a drug company). Amazon.com has an expected return of 60% and Merck has an expected return of 40%. The standard deviation of Amazon.com's return is 90% and the standard deviation of Merck's return is 30%.The correlation between the two stocks is 0.2. You have 80% of your money in Amazon.com and 20% of your money in Merck.

a. What are the expected return and standard deviation for your portfolio? (4)

b. You sell your Merck stock and replace it with Microsoft. If Microsoft's standard deviation of returns is also 30%, do you expect your portfolio variance to change? Explain your reasoning. (4)

I would expect my portfolio variance to change. Microsoft is a high technology company and is likely to have a higher correlation with Amazon.com because they are in similar industries and are both affected by many of the same events. Thus, the correlation coefficient between Amazon.com and Microsoft should be higher than the correlation coefficient between Amazon.com and Merck. This will result in a higher portfolio variance because there will be less offsetting moves in the two stocks (they will tend to move together, creating wider swings in portfolio value).

Back to Practice Problems