36

33.12
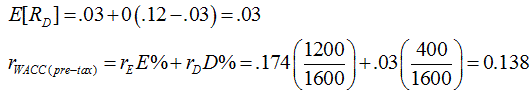
12. Assume that a particular company has $400 million in debt and $1200 million in equity. Assume that the beta of its debt is 0 and the beta of its equity is 1.6. The expected return on the market is 12% and the risk free rate is 3%.

  1. What is the beta of its assets? (3)

b. What is the expected return on its assets? (3)

c. What is the expected return on its equity? (3)

d. Why do equity holders demand a different return than the return on the assets? (3)

Equity holders take on two types of risk: asset risk and financial risk. The asset risk comes from the fundamental nature of the assets underlying the business. The financial risk comes from the fact that the more debt there is in the capital structure, the lower the probability that the equity holders (at the back of the line) will get paid. They demand some extra compensation for the risk of standing at the back of the line.

e. What is the company's weighted average cost of capital? (As always, show your calculations.) (3)

which is the same as the return on assets you found earlier! I love it when a plan comes together!

Back to Practice Problems