311.

313.5

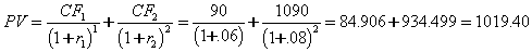
5. The yield curve currently looks like this:

[graph showing that r1=0.06, r2=0.08 and r3=0.09]

9% coupons means $90 per year, so the cash flows look like this:

Today 1 year 2 years
0 90 1090

The price of the bond is the present value of the cash flows:

Examples of pricing a bond from such a description can be found in the bond topic section of the notes. Pricing a bond with different spot rates is also shown in that section.

A one-year strip pays off $100 in one year. Thus, its price is just the present value of $100:

PV=$100 / (1.06)=$94.34

The bond should have the higher YTM. It’s YTM will be a weighted average of the two spot rates (0.06 and 0.08), so its YTM must be greater than 0.06. The STRIP’s YTM will be a weighted average of its spot rates, as well. However, it only has one spot rate (0.06), so its YTM will be 0.06.

Back to Practice Problems