2
23.1
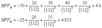
1.Your company is considering two projects with the following
cashflows:
| |
Year 0
|
Year 1
|
Year 2
|
Year 3
|
Year 4
|
| Project A |
-70
|
20
|
30
|
40
|
10
|
| Project B |
-25
|
20
|
15
|
|
|
- The discount rate is 12%. What are the NPV's for the two
projects? (4 pts.)
- If you had to commit to one project that you would repeat
over the next 8 years, which one would it be? Show how
you came to your decision. (5 pts.)
- Someone on your analysis team suggests using IRR to
choose between the two projects. Explain why that would
be a bad idea. (4 pts.)
The projects have different initial outlays (size
disparity), so this invalidates a return comparison like
(IRR). They also have different lives, so the returns
will not be comparable (different holding period).
Back to Practice Problems