225

2N5.3
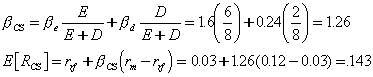
3. Computer Associates is trying to buy Computer Sciences. Assume: CA has an equity beta of 1.5 and a debt beta of 0.2. It has $8bn in equity and $2bn in debt. CS has an equity beta of 1.6 and a debt beta of 0.24. It has $6bn in equity and $2bn in debt. The risk free rate is 3% and the expected return on the market is 12%. What discount rate should CA use to determine what price to pay for CS? (3 pts)

The appropriate rate to use is the discount rate that accounts for the risk of CS, not the one that comes from CA's risk. Thus, the information about CA is irrelevant. CA should use CS' risk to calculate the appropriate discount rate for this project. The first step is to get the beta for CS' assets. The second step is to use that beta to get the appropriate discount rate.
 

Discount Rate: 14.3%

Back to Practice Problems