311.

1F.14

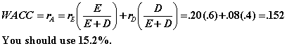
14.You work for DeBeers, the diamond mining company. You are considering starting production on a new diamond mine. The required return on your equity is 20% and your debt has a required return of 8%. Your firm is worth $1 billion dollars, $400 million of which is debt. What rate of return should you use to discount the cashflows from your new project and why is that the right return to use? (6 pts)

This is a scale-expanding project, so you should use the company's WACC:

Back to Practice Problems