15

15.1

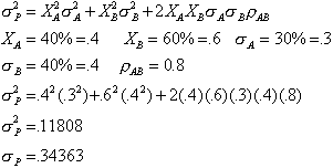
  1. Let’s say you have 2 stocks: Intel and Microsoft. Assume that Intel’s average return over the last 5 years has been 20% per year and that Microsoft’s has been 25%. Also assume that the standard deviations of those returns were 30% and 40%, respectively. (2 pts.)
  1. If the correlation coefficient (r ) for these two stocks is 0.8, what would be the standard deviation of a portfolio invested 40% in Intel and 60% in Microsoft?
     

     


     
     

  2. If the correlation coefficient were 0.5 instead, would the portfolio standard deviation be greater than or less than in (a)? Why?

The portfolio standard deviation (risk) would be less than in (a). This is because the lower correlation (.5 vs. .8) means that these stocks tend to move together less than they did in part (a). That means that they offset eachother more often, dampening any overall swings in the portfolio, making the total standard deviation less.

Back to Practice Problems