11_3

11.3

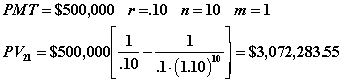
3. Imagine that you have a trust fund that pays $500,000 per year for 10 years, starting when you turn 21. If interest rates are 10%, what is that fund worth to you on your 18th birthday? (2 pts)

First, figure out the annuity as if it started next year:

 
This is what it is worth on your 20th birthday. Now figure out what it is worth 2 years earlier, on your 18th birthday:


 
 Back to Practice Problems