Combination of Variables

The method of combination of variables is useful, particularly when the problem is posed in a semi-infinite domain. Here we give only one example, and more detail is provided by Ames [1965, 1969] and Finlayson [1980, p. 173]. See those references to see the general strategy. Here we apply the method to the nonlinear problem

with boundary and initial conditions

The transformation combines two variables into one.

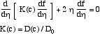
The use of the 4 and D0 makes the analysis below simpler. The equation for c(x,t) is transformed into an equation for f(h).

The result is

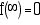
The boundary conditions must also combine. In this case the variable h is infinite when either x is infinite or t is zero. Note that the boundary conditions on c(x,t) are both zero at those points. Thus the boundary conditions can be combined to give

The other boundary condition is for x = 0 or h = 0.

Thus we have an ordinary differential equation to solve rather than a partial differential equation. When the diffusivity is constant the solution is the well-known complementary error function.

This is a tabulated function [Abramowitz and Stegun, 1964].

Take Home Lesson: If you can combine the variables, DO IT! It reduces the size of the problem and will reduce computation time in a numerical solution. The hint that it may be possible is a semi-infinite domain with no suggestive length standard.