Singularities

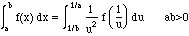
When the integrand has singularities, a variety of techniques can be tried. The integral may be divided into one part which can be integrated analytically near the singularity and another part which is integrated numerically. Sometimes a change of argument allows analytical integration. Series expansion might be helpful, too. When the domain is infinite it is possible to use Gauss-Legendre or Gauss-Hermite quadrature. Also a transformation can be made [Press, et al, 1986]. For example, let u = 1/x and then