Classification of Partial Differential Equations

A set of differential equations may be hyperbolic, elliptic or parabolic, or it may be of mixed type. The type may change for different parameters or in different regions of the flow. This can happen for non-linear problems; an example is a compressible flow problem with both sub-sonic and super-sonic regions. Characteristic curves are curves along which a discontinuity can propagate. For a given set of equations we wish to determine if characteristics exist or not, since that determines if the equtions are hyperbolic, elliptic or parabolic.

For linear problems we can use the theory summarized by Joseph,et al. [1985]. We replace

with the Fourier variables

If the m-th order differential equation is

where

the characteristic equation for P is

Eq. (1):

where the s represent coordinates. Thus only the highest derivatives are used to determine the type. We consider the surface defined by this equation plus a normalization condition.

The shape of the surface defined by Eq. (1) is also related to the type: elliptic equations give rise to ellipses; parabolic equations give rise to parabolas, and hyperbolic equations give rise to hyperbolas.

If Eq. (1) has no non-trivial real zeroes then the equation is called elliptic. If all the roots are real and distinct (excluding zero) then the operator is hyperbolic.

Apply this formalism to three basic types of equations. First consider the equation arising from steady diffusion in two dimensions.

This gives

We thus have

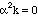
These cannot both be satisfied so the problem is elliptic. When the equation is

we get

Now it is possible to solve for real x0 and the equation is hyperbolic.

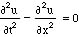
When the equation is

we have

Thus we need

and the characteristic surfaces are hyperplanes t = constant. This is a parabolic case.

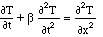
Consider next the telegrapher's equation.

Replacing dertivatives with the Fourier variables gives

The equation is thus second order and the type is determined by

We need the normalization condition

Combining these gives

The roots are real and the equation is hyperbolic. When b = 0 we again have

and the equation is parabolic.

First-order quasi-linear problems are written in the form

Eq. (2):

The matrix entries Al is a k by k matrix whose entries depend on u but not on derivatives of u. We say that Eq. (2) is hyperbolic if

is non-singular and for any choice of real ll, l = 0,...,n, lm the roots ak of

are real. If the roots are complex the equation is elliptic; if some roots are real and some are complex the equation is of mixed type.

Apply these ideas to the convection equation

Thus look at

In this case

Using the first equation gives

Thus the roots are real and the equation is hyperbolic.

As the final example, consider the heat conduction problem written as

In this formulation the constitutive equation for heat flux is separated out; the resulting set of equations are first order. Write them as

In matrix notation this is

This compares with

In this case A0 is singular while A1 is non-singular. Thus look at

for any real l0. This is

or

Thus the a are real, but zero, and the equation is parabolic.

Take-home Message: Finding the characteristic equation for a partial differential equation enables the equation type to be determined. Parabolic, elliptic, and hyperbolic PDEs have very different characteristics and solution methods.